LaTeX

Zulip supports math typesetting powered by KaTeX. Their support table is a helpful resource for checking what's supported or how to express something.

Insert LaTeX formatting

Zulip's compose box has a smart Math (LaTeX) () button, which inserts contextually appropriate LaTeX formatting:

  • If no text is selected, the button inserts displayed LaTeX (```math) formatting.
  • If selected text is on one line, the button inserts inline LaTeX ($$) formatting.
  • If selected text is on multiple lines, the button inserts displayed LaTeX (```math) formatting.

  1. Open the compose box.

  2. (optional) Select the text you want to format.

  3. Click the Math (LaTeX) () icon at the bottom of the compose box to insert LaTeX formatting.

You can also use the Math (LaTeX) () icon to remove existing LaTeX formatting from the selected text.

  1. Open the compose box.

  2. To use inline LaTeX, use double dollar signs ($$) around the text:

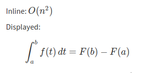
$$O(n^2)$$

To use displayed LaTeX, use triple backticks and the word math (```math) followed by some text and triple backticks at the end:

``` math
\int_a^b f(t)\, dt = F(b) - F(a)
```

Examples

What you type

Inline: $$O(n^2)$$

Displayed:
``` math
\int_a^b f(t)\, dt = F(b) - F(a)
```

What it looks like

Markdown LaTeX